学院杨伟锋教授团队在第四代半导体代表性材料氧化镓(Ga2O3)功率器件和日盲光电探测器研究方面取得重要进展。相关研究成果在Applied Physics Letters和IEEE旗下微电子器件制造领域的多个学术期刊上发表,这些成果为高性能Ga2O3器件的应用提供了重要支持。
六篇论文的第一作者分别为2021级博士生洪梓凡、2022级硕士生魏树博(与洪梓凡并列一作)、2023级博士生李颖、2024级博士生林嘉隆(两篇论文一作)以及2022级博士生彭行坤,通讯作者均为我院杨伟锋教授。
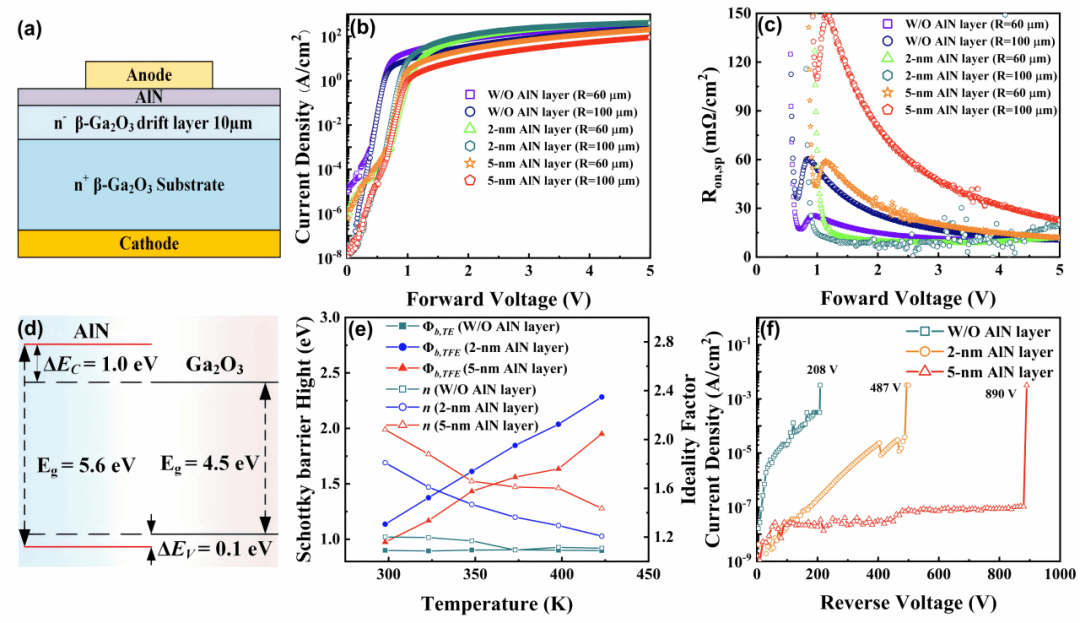
在Ga2O3功率器件方面,研究团队通过在Al2O3/β-Ga2O3界面进行原子氮处理,将垂直沟槽型β-Ga2O3金属-绝缘体-半导体(MIS)肖特基势垒二极管(SBD)的击穿电压从832 V提升至1200 V,同时保持了0.9 V的低开启电压和12.1 mΩ·cm2的低比导通电阻。研究成果如图1所示。同时,研究团队通过原子层沉积(ALD)技术在β-Ga2O3表面生长AlN薄膜,成功在金半界面处引入了AlN势垒层,显著提升了器件性能。所制备的平面型β-Ga2O3 SBD实现了低至0.1 μA/cm2的超低泄漏电流,其击穿电压从208 V大幅提升至890 V,同时仍保持较低的开启电压和较低的导通电阻。研究成果如图2所示。

图1 沟槽型β-Ga2O3 SBD结构和性能
(详情请见Applied Physics Letters 126, 152108 (2025).DOI:10.1063/5.0254888)
图2 平面型β-Ga2O3 SBD结构、性能和能带示意图
(详情请见IEEE Transactions on Electron Devices 71, 6934-6941 (2024). DOI: 10.1109/TED.2024.3469909)
此外,研究团队设计并研制了新型Ga2O3基pn异质结二极管(HJD),引入新型p型材料CuCrO2形成pn异质结结构。所制备的CuCrO2/Ga2O3 pn异质结二极管的击穿电压高达1.46 kV,漏电流低至10-5 A/cm2,其性能比传统的β-Ga2O3 SBD提高了近四倍。同时,HJD的导通电压为1.62 V,导通电阻为5.36 mΩ∙cm2。研究成果如图3所示。

图3 CuCrO2/β-Ga2O3 pn异质结二极管结构、性能和能带示意图
(详情请见IEEE Transactions on Electron Devices 72, 4005-4010 (2025). DOI: 10.1109/TED.2025.3575742)
在Ga2O3日盲光电探测器方面,研究团队制备了含有Al纳米颗粒的自供电日盲CuCrO2/β-Ga2O3异质结光电探测器。该探测器具有3.67 pA的低暗电流、2×106的高光暗电流比、0.82 A/W的高响应度、8.09×1013 Jones的高探测率、402.8%的高外量子效率和30/19 ms的快响应时间,其性能优于大多数已报道的β-Ga2O3基异质结光电探测器。研究成果如图4所示。同时,研究团队制备了纳米Pt/非晶Ga2O3/晶态CuCrO2异质结构自供电日盲光电探测器,该探测器具有3.91×106的高光暗电流比、3.57 A/W的高响应度、2.56×1014 Jones的高探测率和1748.4%的高外量子效率,性能超越了大多数已报道的Ga2O3基异质结构自供电日盲光电探测器。研究成果如图5所示。

图4 含有Al纳米颗粒的CuCrO2/β-Ga2O3异质结光电探测器结构和性能
(详情请见IEEE Sensors Journal 24, 40717-40724 (2024). DOI: 10.1109/JSEN.2024.3491799)

图5 纳米Pt/非晶Ga2O3/晶态CuCrO2异质结构光电探测器结构、性能和能带示意图
(详情请见IEEE Electron Device Letters. DOI: 10.1109/LED.2025.3608729)
此外,研究团队通过基于PDMS的干法转移技术,将机械剥离的β-Ga2O3单晶材料转移至Si/SiO2衬底上,制备了具有金属-半导体-金属(MSM)结构的日盲光电探测器。器件在不同温度条件下进行氧气退火处理后,发现其在400℃退火条件下展现出的性能优于同类型β-Ga2O3结构器件,该器件具有高响应度(96.40 A/W)和高增益(760.58)特性。研究成果如图6所示。

图6 β-Ga2O3 MSM日盲光电探测器在不同温度氧气氛围中退火后的光响应性能变化及其物理机制分析
(详情请见IEEE Sensors Journal 25, 24096-24105 (2025). DOI: 10.1109/JSEN.2025.3572913)
学院研究团队在Ga2O3器件方面取得的研究进展,为超宽禁带半导体在功率器件和日盲深紫外探测器领域的应用提供了技术参考,也为构建具有高击穿电压、低泄漏电流特性的电力电子器件,以及具有高响应度、低噪声特性的光电子器件开辟了技术途径。
课题组的研究得到了国家自然科学基金项目、福建省闽江学者奖励计划、厦门市双百计划和深圳市科技计划项目的支持。
全文链接:
https://doi.org/10.1063/5.0254888
https://ieeexplore.ieee.org/document/10711238
https://ieeexplore.ieee.org/document/11026861
https://ieeexplore.ieee.org/document/10750209
https://ieeexplore.ieee.org/document/11159261
https://ieeexplore.ieee.org/document/11018812
图文 | 张烨
排版 | 张烨
审核 | 胡凡
厦门大学电子科学与技术学院
(国家示范性微电子学院)